Biosecurity

As part of the Australian Honeybee Industry Biosecurity Code of Practice V2.1 2025, beekeepers who manage 20 hives or more are required to demonstrate appropriately that they have a higher level of biosecurity knowledge and of pest and disease identification and management. In Part C of The Code, requirements list specific approved regular learning in pest and disease training to be undertaken.
AHBIC has also developed a stand-alone Appendix 1 PDF which is now editable and updated with the 2025 Code of Practice. Click on the image below to open PDF.
Another key biosecurity resource for Australian beekeepers, is the Biosecurity Manual for Beekeepers, which was developed by industry as a guide to reduce the risk of exotic and established pests.
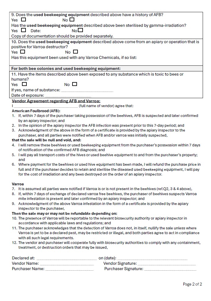
Buying or Selling?
Take a look at the Vendor Declaration Form:
Bee Pest Blitz
Bee Pest Blitz is a new annual month-long national campaign to increase awareness of the importance of bee biosecurity and encourage beekeepers to inspect their hives for high priority exotic pests.
This national month-long call-to-action campaign encourages beekeepers to conduct surveillance during the month of April.
The Bee Pest Blitz website beepestblitz.com.au is live and contains resources to assist beekeepers to conduct alcohol washes on their hives and report their findings.
Bee Pest Blitz is a Department of Agriculture, Fisheries and Forestry (DAFF) funded initiative, led by Plant Health Australia (PHA), and supported by the Australian Honey Bee Industry Council (AHBIC) and all state and territory governments.
Bee Pest Blitz will be supported by Bee Biosecurity Officers (BBOs) in each state under the National Bee Biosecurity Program (NBBP), and engagement and networking with the National Bee Pest Surveillance Program (NBPSP).
By participating in the Bee Pest Blitz month, Australian beekeepers will fulfil their bee biosecurity obligations and one of the two inspection requirements under the Australian Honey Bee Industry Biosecurity Code of Practice.





